Wirkstoff aus der Myrte nachgebaut
Totalsynthese von Myrtucommulon A geglückt.
Die Myrte gilt seit der Antike als Heilpflanze. Neben einer Reihe von ätherischen Ölen enthält sie Myrtucommulon A, eine pharmakologisch interessante Substanz, die unter anderem antibakteriell, schmerzlindernd und stark entzündungshemmend wirkt. Neuere Tests belegen zudem eine hoch selektive zytostatische Wirkung auf Tumore. Ein Team um Johann Jauch ist es jetzt gelungen, Myrtucommulon A künstlich herzustellen. Wie die Wissenschaftler in der Zeitschrift Angewandte Chemie berichten, zeigt die synthetische Verbindung die gleiche entzündungshemmende sowie cytostatische Aktivität wie die natürliche.
Die Myrte (Myrtus communis) ist ein immergrüner Strauch des Mittelmeerraumes mit aromatisch duftenden, kleinen, lederigen Blättern, kleinen, weißen Blüten und blauschwarzen Beeren. Die mediterrane Küche nutzt Blätter und Beeren gelegentlich als Gewürz. Seit der Antike ist die an ätherischen Ölen reiche Myrte auch als Heilpflanze bekannt. Die pharmakologische Forschung interessiert sich aber besonders für eine Gruppe von Substanzen der Myrte, die als Myrtucommulone bezeichnet werden. Ihre Extraktion aus dem Myrtenblättern ist allerdings sehr mühevoll und liefert nur geringe Ausbeuten. "Eine synthetische Darstellung von Myrtucommulonen würde die Substanz in ausreichender Menge zugänglich machen, um ihre pharmakologischen Eigenschaften genauer zu untersuchen", sagt Jauch. "Zudem kann man Analoga entwickeln, die vielleicht noch wirksamer sind als die ursprüngliche Substanz. So könnte die Wirkung des Naturstoffes gesteigert werden."
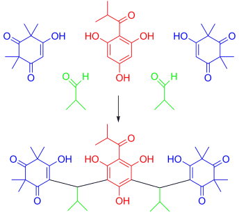
Eine solche Totalsynthese ist den Wissenschaftlern jetzt geglückt. Ausgehend von käuflichen oder literaturbekannten Ausgangsverbindungen hat das Team von der Universität des Saarlandes in Saarbrücken sowie der Universität Tübingen Myrtucommulon A, dessen natürliche Varianten C und F sowie ein Analogon in einer einstufigen Reaktion synthetisiert. Anhand spektroskopischer Untersuchungen und einer Röntgenstrukturanalyse konnte deren Struktur bestätigt werden.
"In Labortests zeigte sich, dass das künstliche Myrtucommulon A genauso stark entzündungshemmend wirkt wie die natürliche Verbindung", so Jauch. "Ebenso wie der Wirkstoff aus dem Pflanzenextrakt löst es den programmierten Zelltod (Apoptose) von Tumorzellen aus." Als nächstes wollen die Wissenschaftler die absolute räumliche Struktur der Verbindung aufklären und weitere Analoga herstellen und testen.
Angewandte Chemie: Presseinfo 08/2010
Autor: Johann Jauch, Universität des Saarlandes, Saarbrücken (Germany), http://www.uni-saarland.de/campus/fakultaeten/professuren/naturwissenschaftlich-technische-fakultaet-iii/chemie/professuren-fr-81-chemie/prof-dr-johann-jauch/mitarbeiter/prof-dr-j-jauch.html
Angewandte Chemie, Permalink: http://dx.doi.org/10.1002/ange.200903906
Angewandte Chemie, Postfach 101161, 69495 Weinheim, Germany
Weitere Informationen:
http://presse.angewandte.de
Ähnliche Pressemitteilungen im idw