Antibakterielles Polymer
Überraschend hohe und spezifische antibakterielle Wirkung bei einem wasserlöslichen phosphorhaltigen Polymer
Künstliche Polymere können nur dann antibiotisch wirken, wenn ihr Grundgerüst sowohl wasserabweisende als auch wasserlösliche Regionen enthält. Diese etablierte Modellvorstellung stellt jetzt eine Arbeit von kanadischen Forschern auf den Kopf: In ihrer Publikation in der Zeitschrift Angewandte Chemie zeigen die Wissenschaftler, dass ein phosphorhaltiges Polymer ohne wasserabweisende Kohlenwasserstoffketten hervorragende bakterizide Eigenschaften hat. Die bisherigen Strategien zu Polymeren in der Antibiotikaforschung muss daher möglicherweise neu bewertet werden.
Der Bedrohung durch mehrfach resistente pathogene Keime versuchen Wissenschaftler zunehmend mit der Entwicklung von Designerpolymeren zu entgegnen. Solche Polymere spiegeln die Wirkungsweise der leistungsfähigen Peptid-Antibiotika wider. Paul J. Ragogna und Beth Gillies an der Western University in London (Kanada) untersuchen zu diesem Zweck phosphorhaltige Polymersalze. Diese Polyphosphonium-Verbindungen vereinen in ihrer molekularen Struktur ein Kohlenwasserstoff-Rückgrat und positiv geladene Phosphorzentren in jeder Wiederholungseinheit. Wahrscheinlich ermöglicht die besondere Kombination aus wasserabweisenden Kohlenwasserstoffketten am Phosphor und positiver Ladung, dass diese Polymere gezielt an Bakterienzellen andocken und diese dann auflösen können.
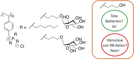
Um diese Polyphosphonium-Verbindungen noch wirksamer zu machen, wollte das Forscherteam der Western University ursprünglich das Verhältnis von wasserabweisenden Regionen und positiver Ladung im Molekül optimieren. Dafür ersetzten sie die Kohlenwasserstoffketten am Phosphor-Zentrum durch Mannose-Zuckerreste. Die Zuckereinheit werde die Bakterien „ködern“, erwarteten die Autoren. Dies gelang jedoch nicht. „Unsere Anfangshypothese, dass das Mannose-Phosphonium-Polymer ManPP besonders zielgerichtet wirken sollte, erwies sich als falsch“, meldeten die Wissenschaftler. Mit einer anderen funktionellen Gruppe waren sie dagegen erfolgreich – und das vollkommen unerwartet.
Weil der kurzkettige, sehr gut lösliche Alkohol Propanol als funktionelle Gruppe keine wasserabweisenden Eigenschaften mitbringt, erwarteten die Wissenschaftler auch keinen Zellaufschluss, weder für bakterielle Zellen noch für rote Blutkörperchen. Der Grad, wie stark rote Blutkörperchen angegriffen werden, gilt als Maß für die Selektivität des Wirkstoffes gegenüber menschlichen Zellen. Also synthetisierten die Forscher ein Alkohol-modifiziertes Phosphonium-Polymer, um diese Verbindung als Referenz, als Nullkontrolle einzusetzen. Entgegen aller Erwartungen zersetzte dieses HydroxyPP die Bakterien jedoch mit beispielloser Aktivität, während es die roten Blutkörperchen intakt ließ. Erstaunt stellten die Autoren fest: „In der Literatur zu antimikrobischen Polyonium-Materialien oder ähnlichen Substanzen ist ein solches Ergebnis bisher nicht zu finden.“
Also sind wasserabweisende Kohlenwasserstoffketten doch nicht unentbehrlich, um Phosphoniumsalz-Polymere zu Bakterienkillern zu machen. Möglicherweise spielen das Polystyrol-Rückgrat oder auch die einzelne wasserabweisende Endgruppe im fertigen Polymer eine Rolle, vermuten die Autoren. Diese Befunde zu bakteriziden Polymerstrukturen müssen weiter erforscht werden. Vielleicht müssten die bisherigen Modelle neu bewertet und ergänzt werden. Für die Antibiotikaforschung sind dies interessante Neuigkeiten.
Angewandte Chemie: Presseinfo 24/2018
Paul J. Ragogna, Western University (Canada), http://publish.uwo.ca/%7epragogna/
Angewandte Chemie, Postfach 101161, 69451 Weinheim, Germany.
Originalpublikation:
https://doi.org/10.1002/ange.201806412
Weitere Informationen:
http://presse.angewandte.de
Die semantisch ähnlichsten Pressemitteilungen im idw