Fraunhofer ISE und Heraeus erforschen neue Zellverbinder für höhere Modulleistung
Das Fraunhofer-Institut für Solare Energiesysteme ISE und Heraeus erforschen und optimieren neuartige, selektiv beschichtete Zellverbinder in einem gemeinsamen Forschungsprojekt. Der SCRTM-Zellverbinder (Selectively Coated Ribbon) erzielt einen Leistungsgewinn von durchschnittlich 1,9 W bei herkömmlichen Solarmodulen mit 60 Zellen. Der Verbinder lässt sich ohne Anlagenmodifikation und ohne zusätzliche Kosten in der industriellen PV-Modulfertigung einsetzen. Das Fraunhofer ISE hat Module mit dem SCR-Verbinder in seinem akkreditierten TestLab PV Modules erfolgreich geprüft.
Heraeus und Ulbrich entwickelten einen Prozess für die Herstellung des effizienten Zellverbinders und stellten das neue Produkt im September 2018 auf der EU PVSEC in Brüssel dem Fachpublikum vor.
Kristalline Siliciumsolarzellen sind üblicherweise durch lotbeschichtete Kupferverbinder verschaltet. Diese Verbinder sind auf die Vorder- und Rückseitenmetallisierung gelötet und führen den erzeugten Strom ab. Während herkömmliche Zellverbinder einfallendes Licht nicht nutzbar machen können, reflektieren die beschichteten Kanten des SCRTM-Verbinders das Licht indirekt auf die Zellfläche und erzeugen dadurch einen Leistungsgewinn. Der Effekt funktioniert unabhängig vom Einfallswinkel. Dr. Markus König, Projektleiter des öffentlich geförderten Projekts zur SCRTM-Zellverbinder-entwicklung bei Heraeus, bestätigt: »Die wichtigsten Entwicklungsschritte auf dem Weg zur Markteinführung des neuen Zellverbinders wurden erfolgreich vom Projektpartner Fraunhofer ISE durch zielgerichtete Tests unterstützt. Dank der engen Zusammenarbeit konnten wir den SCR-Verbinder in kurzer Zeit entwickeln und das Produkt zuverlässig validieren.«
Dr. Achim Kraft, Teamleiter Verbindungstechnik am Fraunhofer ISE, ist überzeugt: »Unsere Tests haben den Leistungsgewinn und die Zuverlässigkeit bestätigt. Als „drop-in replacement“ in industriellen Prozesslinien hat der neue Verbinder beste Chancen, sich auf dem Modulmarkt durchzusetzen. «
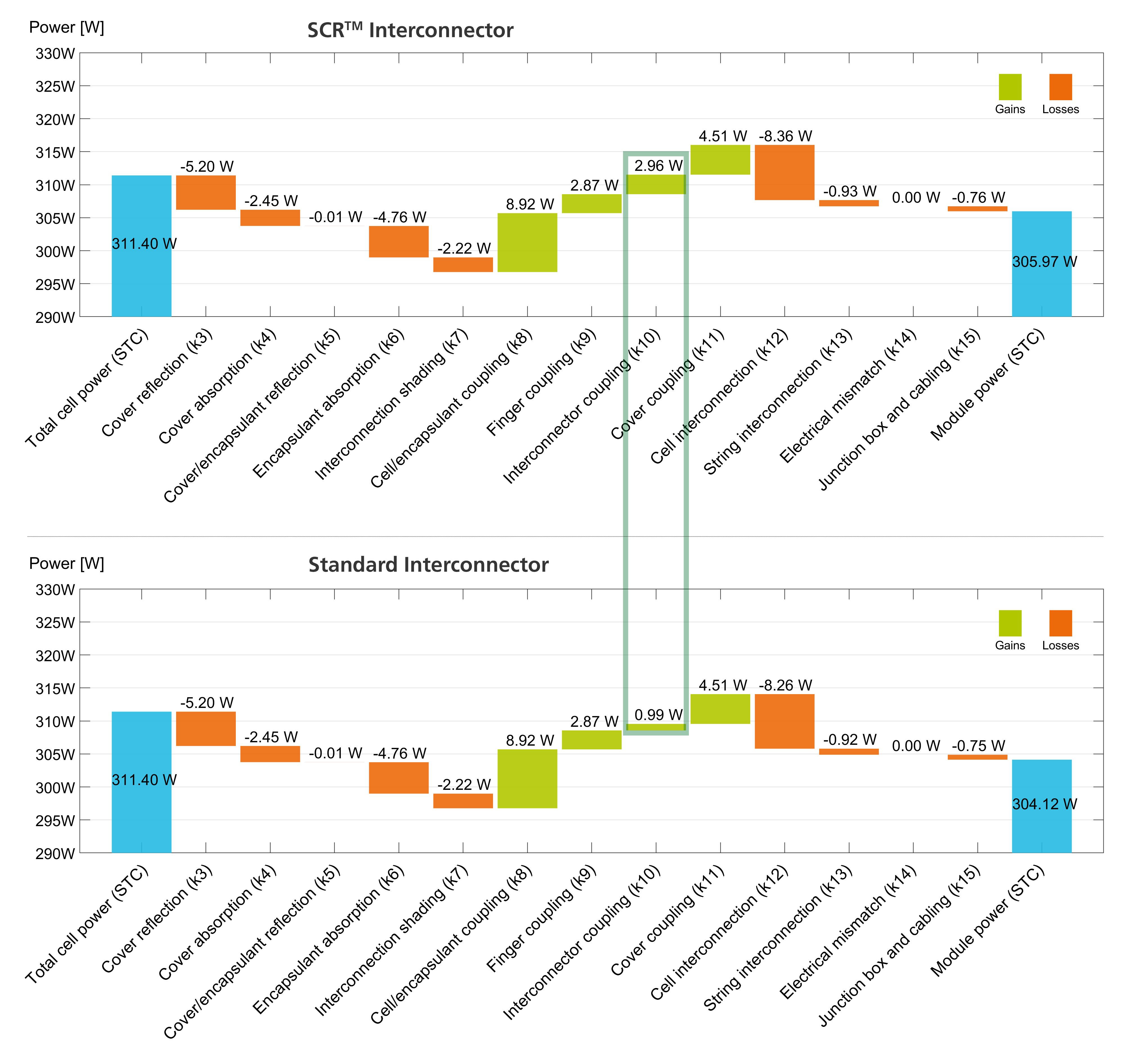
Berechnung des Leistungsgewinns durch SmartCalc.CTM
Das Software-Tool SmartCalc.CTM des Fraunhofer ISE ermöglichte die exakte Berechnung des Leistungsgewinns durch die SCRTM-Verbinder bereits im Vorfeld. Die CTM-Analyse (Cell-to-Module) ergab rechnerisch eine Leistungssteigerung von 1,85 W durch die Erhöhung der internen Reflexionsgewinne. Modulmessungen an einer Vor-Serie zeigten durchschnittlich 1,9 W Leistungssteigerung und bestätigten damit die Ergebnisse der CTM-Berechnung.
Mit dem SCRTM-Verbinder hergestellte Module zeigten in Belastungstests nach Prüfnorm IEC 61215 eine hohe Zuverlässigkeit. In erweiterten Tests wurden die Zellverbinder unter spezifischen Belastungen wie Temperaturwechsel, erhöhte UV-Einstrahlung und Feuchtelagerung im TestLab PV Modules am Fraunhofer ISE geprüft. Die Kombination aus UV-Belastung und Feuchtigkeit wird in einer speziellen Klimakammer realisiert und geht über die üblichen Standardtests der IEC Norm hinaus. Im direkten Vergleich zum gängigen Zellverbinder mit umlaufender Lotbeschichtung zeigten sich keine Einschränkungen hinsichtlich der Zuverlässigkeit.
Die Entwicklungsarbeiten erfolgen im Rahmen des Projekts »CONNECT Kombinierte Metallisierung- und Verbindungstechnik für effiziente PV-Module« und werden vom Bundesministerium für Wirtschaft und Energie (BMWi) gefördert (Förderkennzeichen: 0324052B).
Über Heraeus
Der Technologiekonzern Heraeus mit Sitz in Hanau ist ein weltweit führendes Portfoliounternehmen in Familienbesitz. Die Wurzeln des 1851 gegründeten Unternehmens reichen zurück auf eine seit 1660 von der Familie betriebene Apotheke. Heraeus bündelt heute eine Vielzahl von Geschäften in den Feldern Umwelt, Energie, Elektronik, Gesundheit, Mobilität und industrielle Anwendungen.
Im Geschäftsjahr 2017 erzielte Heraeus einen Gesamtumsatz von 21,8 Mrd. €. Das im FORTUNE Global 500 gelistete Unternehmen beschäftigt rund 13.000 Mitarbeiter in 40 Ländern und hat eine führende Position auf seinen globalen Absatzmärkten. Heraeus gehört zu den Top 10 Familienunternehmen in Deutschland.
Mit fachlicher Kompetenz, Exzellenz sowie der Ausrichtung auf Innovationen und eine unternehmerisch geprägte Führungskultur streben wir danach, unsere Leistungsfähigkeit kontinuierlich zu verbessern. Für unsere Kunden schaffen wir hochwertige Lösungen und stärken nachhaltig ihre Wettbewerbsfähigkeit, indem wir einzigartige Material-Kompetenz mit Technologieführerschaft verbinden.
Weitere Informationen:
https://www.ise.fraunhofer.de/de/presse-und-medien/presseinformationen/2018/neuer-zellverbinder-erhoeht-modulleistung.html
Die semantisch ähnlichsten Pressemitteilungen im idw