Time measurement without a stopwatch
Full time-dependent atomic response in strong laser fields reconstructed from spectral light analysis
The electronic charge oscillation driven by strong laser pulses can be reconstructed simply from a single recorded absorption spectrum. No pump or probe pulses as start and stop events are required. The new concept offers future applications in ultrafast chemistry and biological reactions. [Physical Review Letters, 26 October 2018]
Understanding and control of ultrafast quantum dynamics in matter is one of the central challenges in modern physics. In most cases, the response of the system to an external perturbation, e.g. to excitation by a pump pulse, is measured in a pump-probe scheme: a first laser pulse triggers a dynamic process which is subsequently probed by a second pulse with variable delay. Currently, this allows for a tracking of ultrafast motion down to timescales of femto- and attoseconds, i.e. the millionth or even billionth part of a billionth second. However, it remained difficult to measure bound electrons driven by intense laser fields in real time. This is possible by extracting the electrons’ wave-like charge oscillation also called dipole response.
Generally, a wave and its complementary spectrum – both mathematically connected via Fourier transform – are described by complex numbers with two real quantities: amplitude and phase. The first one relates to intensity, the latter to time. If a system is excited by a very short laser pulse, a simple Fourier transform of the measured absorption spectrum allows to reconstruct the temporal evolution of the dipole response. This has already been known for weak light fields, the so-called linear-response regime.
Physicists from the Max Planck Institute for Nuclear Physics (MPIK) and the Vienna University of Technology (VUT) have now demonstrated that this concept can be generalised to the case of a strong additional laser pulse driving the dipole response of the electrons. Figure 1 illustrates the experimental procedure realized by Veit Stooß in the group of Christian Ott and Thomas Pfeifer at MPIK: An ultrashort attosecond ultraviolet (UV) laser pulse (blue) is directly followed by an intense femtosecond infrared (IR) pulse (red), which modifies the dipole response (purple) of the sample, here a helium atom. The UV absorption spectrum, composed of the initial pulse plus the dipole response, is analysed (right). The strong-field driven time-dependent response can be reconstructed via Fourier transform of the measured spectrum.
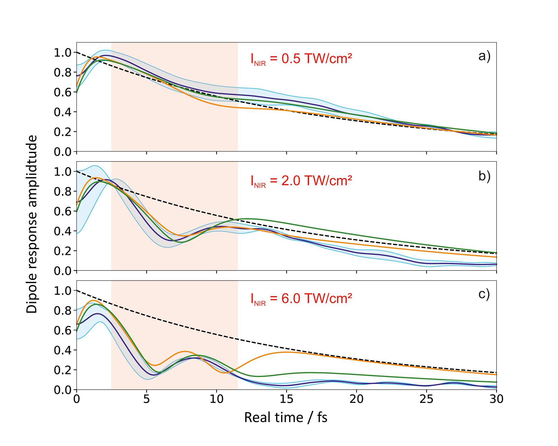
Figure 2 shows the amplitude of the reconstructed dipole response (blue) of a specific doubly excited state in helium for three different intensities of the IR pulse in comparison with two theoretical models: A full “ab initio” simulation (green) by the group of Joachim Burgdörfer (VUT) and a few-level model (orange) by Veit Stooß and Stefano Cavaletto (Group of Christoph Keitel at MPIK). Without the intense IR pulse, the dipole response would show just an exponential damping (black dashed line), i. e. the natural decay of the excited state by autoionization. During the interaction with the strong IR field (red shaded area) resonant coupling to other states leads to a modulation (Rabi oscillation) of the response. At the highest intensity, the damping is enhanced due to strong-field ionisation which depletes the excited state faster than its natural decay. Here, the reconstructed response is still in good agreement with the full “ab initio” simulation, whereas the few-state model breaks down. The origin for this discovered breakdown is the emergence of dynamical complexity above a critical intensity, where the number of contributing states “explodes”.
The time-domain reconstruction approach demonstrated here makes no assumption about the sample and should be generally applicable to complex systems like large molecules in solution, as well as for single-shot experiments using short-wavelength free-electron lasers. Furthermore, the concept is not even limited to laser fields and can be applied to any type of interaction.
Wissenschaftlicher Ansprechpartner:
Prof. Dr. Thomas Pfeifer
MPI for Nuclear Physics
E-mail: thomas.pfeifer@mpi-hd.mpg.de
Phone.: +49 6221 516-380
Hon.-Prof. Dr. Christoph H. Keitel
MPI for Nuclear Physics
E-mail: keitel@mpi-hd.mpg.de
Phone: +49 6221 516-150
Prof. Dr. Joachim Burgdörfer
Vienna University of Technology
E-mail: joachim.burgdöfer@tuwien.ac.at
Phone: +43 1-58801-13610
Originalpublikation:
Real-Time Reconstruction of Strong-Field-Driven Dipole Response
V. Stooß, S. M. Cavaletto, S. Donsa, A. Blättermann, P. Birk, C. H. Keitel, I. Březinová, J. Burgdörfer,
C. Ott, and T. Pfeifer
Physical Review Letters 121, 173005 (2018), DOI: https://doi.org/10.1103/PhysRevLett.121.173005
Weitere Informationen:
https://www.mpi-hd.mpg.de/mpi/de/pfeifer Division “Quantum Dynamics and Control“ at MPIK
https://www.mpi-hd.mpg.de/keitel Division “Theoretical Quantum Dynamics and Quantum Electrodynamics” at MPIK
https://tqd.itp.tuwien.ac.at Group “Theoretical Quantum Dynamics” at VUT
Die semantisch ähnlichsten Pressemitteilungen im idw