Zeitmessung ohne Stoppuhr
Volle Zeitabhängigkeit der Antwort eines Atoms auf starke Laserfelder durch Spektralanalyse extrahiert
Die durch einen starken Laserpuls angetriebene Schwingung von Elektronen lässt sich aus einer einzelnen Messung des Absorptionsspektrums rekonstruieren. Hierfür sind keine Pump- und Probepulse als Start- und Stoppsignale erforderlich. Das neue Konzept verspricht zukünftige Anwendungen für ultraschelle Prozesse in der Chemie und biologischen Reaktionen. [Physical Review Letters, 26.10.2018]
Das Verständnis und die Kontrolle ultraschneller Quantendynamik in Materie ist eine der zentralen Herausforderungen in der modernen Physik. In den meisten Fällen wird die Antwort des untersuchten Systems auf eine externe Störung, z. B. einer Anregung, in einem Pump-Probe-Schema gemessen. Ein erster Laserpuls startet einen dynamischen Prozess, der nachfolgend mit einem zweiten Laserpuls mit variabler Verzögerung abgefragt wird. Zur Zeit erlaubt dies die Messung ultraschnelle Bewegungen bis auf Zeitskalen von Femto- und Attosekunden, das sind der millionste bzw. milliardste Teil einer milliardstel Sekunde. Jedoch ist es nach wie vor schwierig, die Dynamik von gebundenen Elektronen unter Einfluss intensiver Laserfelder in Echtzeit zu vermessen. Ein Weg hierzu ist, die wellenartige Ladungsoszillation des Elektrons, „Dipolantwort“ genannt, aus den Messungen zu extrahieren.
Allgemein werden eine Welle und das zu ihr komplementäre Spektrum, die beide mathematisch über eine Fourier-Transformation verknüpft sind, durch komplexe Zahlen mit jeweils zwei reellen Größen beschrieben: Amplitude und Phase. Erstere ist mit der Intensität, letztere mit der Zeit verbunden. Wenn ein System durch einen sehr kurzen Laserpuls angeregt wird, erlaubt eine simple Fourier-Transformation des gemessenen Absorptionsspektrums, die Zeitentwicklung der Dipolantwort zu rekonstruieren. Dies war bereits für das Regime schwacher Lichtfelder unter dem Begriff „lineare Antwort“ (linear response) bekannt.
Physiker des Max-Planck-Instituts für Kernphysik und der Technischen Universität Wien (TUW) haben nun gezeigt, dass dieses Konzept auf den Fall eines starken zusätzlichen Laserpulses, der die Dipolantwort der Elektronen antreibt, verallgemeinert werden kann. Abb. 1 illustriert das von Veit Stooß in der Gruppe von Christian Ott und Thomas Pfeifer am MPIK durchgeführte experimentelle Verfahren: Einem ultrakurzen (Attosekunden) Ultraviolett-Laserpuls (UV, blau) folgt direkt ein intensiver Femtosekunden-Infrarotpuls (IR, rot), der die Dipolantwort (violett) der Probe – hier ein Heliumatom – modifiziert. Das UV-Absorptionsspektrum, zu dem der eingestrahlte Attosekundenpuls und die Dipolantwort beitragen, wird analysiert (rechts). Aus dem gemessenen Spektrum lässt sich die vom starken IR-Feld getriebene zeitabhängige Antwortfunktion über Fourier-Transformation rekonstruieren.
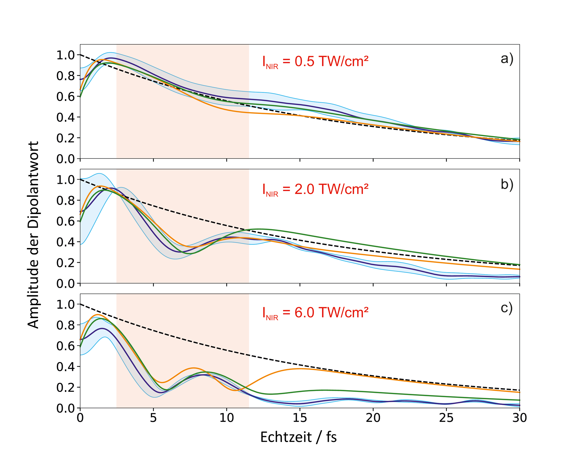
Abb. 2 zeigt die Amplitude der so rekonstruierten Dipolantwort (blau) eines bestimmten doppelt angeregten Zustands in Helium für drei verschiedene Intensitäten des IR-Pulses im Vergleich mit zwei theoretischen Modellen: Eine vollständige “Ab-Initio“-Simulation (grün) aus der Gruppe von Joachim Burgdörfer (TUW) sowie ein Modell (orange) von Veit Stooß und Stefano Cavaletto (Gruppe von Christoph Keitel am MPIK), das mit nur wenigen angeregten Zuständen des Helium-Atoms auskommt. Ohne den intensiven IR-Puls würde die Dipolantwort schlicht exponentiell gedämpft abnehmen (schwarze gestrichelte Linie), entsprechend dem natürlichen Zerfall des angeregten Zustands durch Autoionisation. Während der Wechselwirkung mit dem starken IR-Feld führt resonante Kopplung an weitere Zustände zu einer Modulation (Rabi-Oszillation) der Antwortfunktion. Bei der höchsten Intensität zeigt sich eine verstärkte Dämpfung durch Starkfeldionisation, welche den angeregten Zustand schneller entvölkert als dessen natürlicher Zerfall. Auch hier stimmt die rekonstruierte Antwort noch gut mit der “Ab-Initio“-Simulation überein, während das andere Modell (mit nur wenigen Zuständen) zusammenbricht. Die Ursache für diesen beobachteten Zusammenbruch liegt in der aufkommenden dynamischen Komplexität oberhalb einer kritischen Intensität, wo die Anzahl der beteiligten Zustände gleichsam explodiert.
Der hier demonstrierte Ansatz einer zeitlichen Rekonstruktion macht keine Annahmen über die untersuchte Probe und sollte daher allgemein auf komplexe Systeme wie große Moleküle in Lösungen oder für Experimente mit Freie-Elektronen-Lasern anwendbar sein, bei denen in einem einzigen Schuss die komplette Information aufgenommen wird. Ferner ist das Konzept nicht einmal auf Laserfelder beschränkt, sondern könnte auf jegliche Art von Wechselwirkung angewandt werden.
Wissenschaftlicher Ansprechpartner:
Prof. Dr. Thomas Pfeifer
MPI für Kernphysik
E-Mail: thomas.pfeifer@mpi-hd.mpg.de
Tel.: +49 6221 516-380
Hon.-Prof. Dr. Christoph H. Keitel
MPI für Kernphysik
E-Mail: keitel@mpi-hd.mpg.de
Tel.: +49 6221 516-150
Prof. Dr. Joachim Burgdörfer
Technische Universität Wien
E-Mail: joachim.burgdöfer@tuwien.ac.at
Tel.: +43 1-58801-13610
Originalpublikation:
Real-Time Reconstruction of Strong-Field-Driven Dipole Response
V. Stooß, S. M. Cavaletto, S. Donsa, A. Blättermann, P. Birk, C. H. Keitel, I. Březinová, J. Burgdörfer,
C. Ott, and T. Pfeifer
Physical Review Letters 121, 173005 (2018), DOI: https://doi.org/10.1103/PhysRevLett.121.173005
Weitere Informationen:
https://www.mpi-hd.mpg.de/mpi/de/pfeifer Abteilung „Quantendynamik und -kontrolle“ am MPIK
https://www.mpi-hd.mpg.de/keitel Abteilung „Theoretische Quantendynamik und Quantenelektrodynamik“ am MPIK
https://tqd.itp.tuwien.ac.at Arbeitsgruppe „Theoretische Quantendynamik“ an der TUW
Die semantisch ähnlichsten Pressemitteilungen im idw