Wenn Zwerge Riesen gebären
Astronom*innen des CARMENES-Konsortiums haben einen neuen Exoplaneten entdeckt, der nach derzeitigem Wissensstand nicht existieren dürfte. Die Forschungsgruppe unter Beteiligung des Max-Planck-Instituts für Astronomie (MPIA, Heidelberg) fand einen Gasplaneten, dessen Masse im Vergleich zu seinem Mutterstern GJ 3512 ungewöhnlich groß ist. Die Wissenschaftler*innen folgern, dass der Planet wahrscheinlich durch einen gravitativen Kollaps in einer Scheibe aus Gas und Staub entstand, die sich um den damals noch jungen Zwergstern befand. Dies widerspricht dem aktuell weithin akzeptierten Modell der Planetenentstehung, das für das Aufsammeln des umgebenden Gases einen festen Kern benötigt.
Planeten, so sind sich Astronom*innen sicher, sind ein Nebenprodukt der Entstehung von Sternen. Sie bilden sich in der Scheibe, aus der ihr Mutterstern ebenfalls hervorging. Das vorherrschende Modell für die Entstehung von Planeten basiert auf der Vorstellung, dass sich zunächst ein Objekt aus festen Teilchen in der Scheibe aufbaut. Die Schwerkraft dieses Planetenembryos sorgt dafür, dass sich eine Atmosphäre aus dem umgebenden Gas formiert. Nun haben Wissenschaftler*innen des CARMENES-Konsortiums unter der Leitung von Juan Carlos Morales, einem Forscher des Institute of Space Studies of Catalonia (IEEC) am Institute of Space Sciences (ICE, CSIC), mit Beiträgen von Diana Kossakowski und Hubert Klahr (MPIA) einen Gasplaneten ähnlich dem Jupiter entdeckt, der diesem Modell widerspricht. Vielmehr scheint es, dass er sich ohne einen festen Kondensationskeim direkt aus der Scheibe entwickelt hat.
Ein Gasplanet in der Nachbarschaft des Sonnensystems
Dieser Gasriese, genannt GJ 3512 b, ist zusammen mit seinem Mutterstern GJ 3512 nur 9,5 Parsec (30 Lichtjahre) von der Sonne entfernt und hat eine Masse von mindestens der Hälfte des Jupiters. Für einen Umlauf benötigt er 204 Tage.
Für sich genommen ist GJ 3512 b nicht außergewöhnlich – wohl aber, dass er sich in einem Orbit um einen roten Zwergstern befindet. GJ 3512 besitzt nur 12% der Masse der Sonne, so dass das Massenverhältnis zwischen dem Stern und dem Planeten höchstens 270 beträgt. Im Vergleich dazu ist die Sonne etwa 1050 mal schwerer als Jupiter. Dieses Detail bereitet den theoretischen Physiker*innen Kopfzerbrechen. Die Gas- und Staubscheiben, aus denen sich massearme Sterne wie GJ 3512 bilden, sollten ebenfalls eher wenig Material beinhalten. Zu wenig, wie die Modelle ergeben, um Planetenembryos entstehen zu lassen, aus denen sich Gasriesen wie GJ 3512 b entwickeln.
„Ein Ausweg bestünde in einer sehr massereichen Scheibe, die die benötigten Bausteine in ausreichender Menge besitzt“, erklärt Hubert Klahr, der am MPIA eine Arbeitsgruppe zur Theorie der Planetenentstehung leitet. Wenn jedoch eine Scheibe aus Gas und Staub, die sich um einen Stern befindet, mehr als ungefähr 1/10 der Sternmasse besitzt, reicht die Gravitationswirkung des Sterns nicht mehr aus, um die Scheibe stabil zu halten. Die Schwerkraft des Scheibenmaterials selbst macht sich bemerkbar und beeinflusst ihre Struktur. Ein gravitativer Kollaps des Gases wie bei der Entstehung von Sternen ist die Folge. Solch massereiche Scheiben sind bei jungen Zwergsternen allerdings bislang nicht beobachtet worden.
Die Masse von GJ 3512 b ist mit den Standardmodell nicht erklärbar
Noch schwieriger wird die Situation dadurch, dass es anscheinend Hinweise für einen zweiten Planeten gibt, der sich in einem weiten Orbit um GJ 3512 befindet. Zusätzlich zu diesen beiden Planeten spricht die stark elliptische Bahn von GJ 3512 b [1] dafür, dass er einst von einem dritten Planeten ähnlicher Masse gravitativ beeinflusst wurde. Dieser mutmaßliche dritte Planet muss dabei jedoch offensichtlich aus dem Planetensystem geschleudert worden sein. Neben GJ 3512 b musste die ursprüngliche Scheibe also Material für mindestens einen weiteren Planeten bereitstellen. Die dafür erforderliche Scheibenmasse liegt damit klar außerhalb der Grenzen der aktuellen Stern- und Planetenbildungsmodelle.
Somit folgerten die Forscher*innen des MPIA, der Universität Lund in Schweden sowie der Universität Bern, die sich mit der Simulation der Entstehung von Planeten befassen, dass das „core accretion“-Modell nicht in der Lage ist, die Existenz von GJ 3512 b zu erklären. Deswegen haben sie untersucht, unter welchen Bedingungen das bislang eher vernachlässigte Szenario des gravitativen Kollapses innerhalb einer Scheibe aus Gas und Staub um einen jungen Stern zur Bildung eines Planeten wie GJ 3512 b führen könnte.
Entstehung durch Verdichtung der Scheibenmaterie
Mit unterschiedlichen Ansätzen kamen sie zu dem gleichen Ergebnis, dass GJ 3512 b über diesen Prozess hätte entstehen können. Die Bereiche in der Scheibe jenseits von 10 AE (1 AE = 1 Astronomische Einheit: die Entfernung zwischen Erde und Sonne) vom Zentralstern sind mit Temperaturen von etwa 10 K (-263 °C) sehr kalt. Dort vermag der thermische Druck die Gravitationswirkung des Materials nicht auszugleichen, so dass sie unter ihrem Eigengewicht kollabiert. Im Anschluss muss der noch junge Planet über große Distanzen auf seine derzeitige Position gewandert sein, die sich in einer Entfernung von deutlich unter 1 AE vom Zentralstern befindet. Das ist wiederum mit den aktuellen Modellen der Entwicklung von Planetensystemen verträglich.
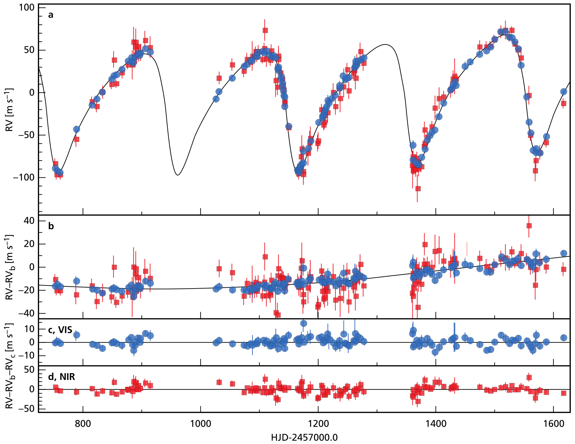
GJ 3512 b wurde mit dem Spektrografen CARMENES über die Methode der Radialgeschwindigkeiten [2] entdeckt (Abb. 2). CARMENES nimmt Spektren im sichtbaren sowie im infraroten Licht auf. „Rote Zwergsterne wie GJ 3512 können sehr aktiv sein und Signale erzeugen, die denen von Planeten ähneln“, erklärt Diana Kossakowski (MPIA), die maßgeblich an der Auswertung der Daten mitwirkte. „Die Infrarot-Spektren waren wichtig, um zu bestätigen, dass wir tatsächlich einen Planeten gefunden haben.“
„Bisher waren die einzigen Planeten, deren Bildung mit Scheibeninstabilitäten kompatibel waren, eine Handvoll junger, heißer und sehr massereicher Planeten in großer Entfernung von ihren Wirtssternen“, gibt Hubert Klahr zu bedenken. „Mit GJ 3512 b haben wir nun einen außergewöhnlichen Kandidaten für einen Planeten, der über die Instabilität einer Scheibe um einen recht massearmen Stern entstanden sein könnte. Dieser Fund veranlasst uns zur Überprüfung unserer Modelle.“
Endnoten
[1] GJ 3512 b befindet sich auf einer Bahn, die ihn in Abständen zwischen 0,2 und 0,5 AE um GJ 3512 herum führt.
[2] Die Gravitationswirkungen zwischen dem Planeten und dem Stern zwingen sie auf Bahnen um den gemeinsamen Schwerpunkt. Dadurch läuft GJ 3512 periodisch mal auf uns zu und wieder von uns weg, wobei sich auch die Geschwindigkeit des Sterns entlang der Sichtlinie ändert. Das führt zu einer Verschiebung der vom Stern erzeugten Spektrallinien – abwechselnd zu blauen und zu roten Bereichen seines Spektrums. Daraus lassen sich die Umlaufperiode und die Mindestmasse des Planeten GJ 3512 b bestimmen.
Hintergrundinformationen
Diese Studie ist das Ergebnis einer Zusammenarbeit von vielen internationalen Instituten aus Spanien, Deutschland und anderen Ländern. Für das MPIA haben Diana Kossakowski, Hubert Klahr, Trifon Trifonov, Martin Kürster und Thomas Henning wichtige Beiträge geleistet.
Das Instrument CARMENES (Calar Alto high-Resolution search for M dwarfs with Exoearths with Near-infrared and optical Échelle Spectrographs, zu Deutsch etwa „Die hochaufgelöste Suche am Calar Alto nach M-Zwergen mit Exo-Erden mithilfe von Spektrografen im Nahinfraroten und im sichtbaren Licht“) ist ein hochauflösender Spektrograph für sichtbares und nahinfrarotes Licht. Das Projekt wird von den Universitäten Göttingen, Hamburg, Heidelberg und Madrid, dem Max-Planck-Institut für Astronomie (MPIA), Heidelberg, den Instituten des Consejo Superior de Investigaciones Científicas (CSIC) in Barcelona, Granada und Madrid, der Thüringer Landessternwarte, dem Instituto de Astrofísica de Canarias (IAC) und der Calar-Alto Sternwarte (CAHA) durchgeführt. Seit 2016 suchen deutsche und spanische Wissenschaftler*innen nach Planeten um Sterne in unserer kosmischen Nachbarschaft.
Medienkontakt
Dr. Markus Nielbock
Presse- und Öffentlichkeitsarbeit
Max-Planck-Institut für Astronomie
Königstuhl 17
69117 Heidelberg
Telefon: +49 6221 528-134
E-Mail: pr@mpia.de
Wissenschaftlicher Ansprechpartner:
Prof. Dr. Hubert Klahr
Leiter der Theoriegruppe "Planeten- und Sternentstehung"
Max-Planck-Institut für Astronomie
Königstuhl 17
69117 Heidelberg
Telefon: +49 6221 528-255
E-Mail: klahr@mpia.de
Diana Kossakowski
Max-Planck-Institut für Astronomie
Königstuhl 17
69117 Heidelberg
Telefon: +49 6221 528-2286
E-Mail: kossakowski@mpia.de
Originalpublikation:
J. C. Morales et al., "A giant exoplanet orbiting a very-low-mass star challenges planet formation models", Science, September 2019
https://science.sciencemag.org/lookup/doi/10.1126/science.aax3198
https://doi.org/10.1126/science.aax3198
Weitere Informationen:
https://www.mpia.de/aktuelles/2019-06-GJ3512b - Originalpressemitteilung mit weiteren Bildern und Videos
Die semantisch ähnlichsten Pressemitteilungen im idw
