Physikalische Theorie durch Metamaterial erstmals bestätigt
Ein Forschungsteam der Würzburger Physik hat einen richtungsweisenden Effekt mithilfe topologischer Metamaterialien erstmals experimentell nachgewiesen. Die Ergebnisse sind im Journal „Nature Physics“ veröffentlicht.
Topologische Metamaterialien werden als eine neuartige Plattform eingesetzt, um außergewöhnliche Effekte zu erforschen. Anstatt auf natureigene Materialien zurückzugreifen, arrangieren Forscher die Bestandteile eines topologischen Metamaterials künstlich zu einer regelmäßigen Struktur. Diese Anordnung steht in Analogie zu einem Festkörper, bei dem die Atome ein Kristallgitter formen. Ziel der Metamaterialien ist es oft, besondere Eigenschaften von Festkörpern zu simulieren und experimentell fokussiert zugänglich zu machen.
Physiker der Julius-Maximilians-Universität (JMU) Würzburg forschen genau an diesen topologischen Metamaterialien, unter anderem im Rahmen des Würzburg-Dresden Exzellenzclusters ct.qmat – Komplexität und Topologie in Quantenmaterialien.
Neuartige topologische Phänomene im Blick
Innerhalb der Würzburger Festkörperphysik liegt ein Schwerpunkt auf der Entdeckung und Charakterisierung neuartiger topologischer Phänomene. Beispielweise werden Festkörper untersucht, die im Inneren Isolatoren sind, aber mit leitfähigen Randzuständen einen elektrischen Strom über ihre Oberfläche leiten können. Weltweit werden diese sogenannten topologischen Isolatoren intensiv erforscht, weil sie interessante physikalische Phänomene zeigen. Womöglich werden sie sogar einmal für Fortschritte in der Halbleitertechnologie und anderen Gebieten sorgen.
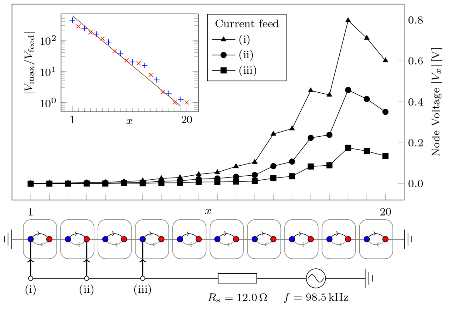
Im Journal Nature Physics stellen die Forscher der JMU nun neue Ergebnisse vor. Während topologische Isolatoren üblicherweise als abgeschlossene (Hermitesche) Systeme betrachtet werden, ist es den Wissenschaftlern in topologischen Metamaterialien gelungen, den Energieaustausch mit der Umgebung einzubeziehen. Durch diese Wechselwirkungen wird das Verhalten des Systems von außen beeinflusst, so wie es auch bei Reibungseffekten der Fall wäre. Auf diese Weise konnten sie den in der Theorie vorhergesagten nicht-Hermiteschen Skin-Effekt (NHSE) erstmals experimentell bestätigen.
Alle Zustände lokalisieren am Rand
Der NHSE besteht darin, dass im Gegensatz zu einem gewöhnlichen topologischen Isolator nicht nur ein Anteil, sondern alle Zustände im Material an dessen Rand auftreten, also dort lokalisiert werden. Anschaulich kann man sich die Teilchen im Material wie Autos vorstellen, die auf einer Straße entlangfahren. Der Einfluss der Umgebung führt dazu, dass in die eine Richtung mehr Spuren vorhanden sind als in die andere, weshalb sich die Autos an einem Ende stauen. Das erklären Tobias Helbig und Tobias Hofmann, die gemeinsamen Erstautoren der Publikation. Beide sind Doktoranden in der Arbeitsgruppe von Professor Ronny Thomale, Leiter des JMU-Lehrstuhls für Theoretische Physik I.
„Unsere Forschungsarbeit zeigt unter anderem, dass die physikalischen Prinzipien, die aus abgeschlossenen Festkörpersystemen bekannt sind, mithilfe neuer Theorien für den nicht-Hermiteschen Fall grundlegend ergänzt werden müssen“, so die Doktoranden. Einen direkten Anwendungsbezug hätten die neuen Erkenntnisse noch nicht. Sie bergen aber das Potenzial, um zum Beispiel hochsensible optische Detektoren zu verbessern.
Elektrische Schaltkreise als Innovationsbasis der Grundlagenforschung
Die Experimente, die zu den neuen Erkenntnissen führten, wurden mit der Arbeitsgruppe von Dr. Tobias Kießling sowie dem JMU-Lehrstuhl für Experimentelle Physik III umgesetzt. Darüber hinaus flossen Impulse und Beiträge von Professor Alexander Szameit von der Universität Rostock in die Arbeit ein. Mit der Arbeitsgruppe von Szameit kooperiert die Physik in Würzburg im Rahmen des Exzellenzclusters ct.qmat auf dem Gebiet der topologischen Photonik.
Um den nicht-Hermiteschen Skin-Effekt experimentell nachzuweisen, hat das JMU-Team elektrische Schaltkreise mit periodisch angeordneten Schaltelementen verwendet. Aufgrund der Ähnlichkeit zur regelmäßigen Kristallstruktur eines Festkörpers werden diese zur Klasse der Metamaterialien gezählt.
Anwendungen topologischer Materie in Sicht
Als nächstes will das Forschungsteam das Zusammenspiel zwischen topologischen Zuständen und nicht-Hermitescher Physik weiter untersuchen. Ein Schwerpunkt wird auf der Frage liegen, inwieweit der Schutz der Zustände durch die Topologie bei Wechselwirkungen mit der Umgebung intakt bleibt.
Mittel- bis langfristig will das Team in Richtung Quanten-Hybrid-Schaltkreise gehen, in die es supraleitende oder andere quantenmechanische Schaltkreis-Elemente einbetten wird. Solche Schaltkreise bieten eine vielseitige Plattform, um neuartige Phänomene zu entdecken.
„Wir wollen außerdem die Erkenntnisse, die wir mit der Plattform der periodischen Schaltkreisgitter erhalten haben, auf andere Plattformen übertragen“, resümiert Professor Thomale. Dazu gehören auch optische Systeme wie photonische Wellenleiter. Dort könnten topologisch geschützte Zustände in nicht-Hermiteschen Systemen perspektivisch für verbesserte Signalverarbeitung und Detektoren sowie für die Konstruktion photonischer Quantencomputer relevant werden. Schlussendlich ist die Rückführung neuartiger Effekte auf tatsächliche Festkörper ein wesentlicher Bestandteil der Forschung an topologischen Metamaterialien.
Förderer
Die beschriebenen Arbeiten wurden von der Deutschen Forschungsgemeinschaft (DFG) im Sonderforschungsbereich SFB-1170 Tocotronics und im Rahmen der Exzellenzstrategie im Exzellenzcluster ct.qmat (Würzburg-Dresden) finanziell gefördert.
Wissenschaftlicher Ansprechpartner:
Prof. Dr. Ronny Thomale, Lehrstuhl für Theoretische Physik I, Universität Würzburg, T +49 931 31-86225, ronny.thomale@physik.uni-wuerzburg.de
Originalpublikation:
Generalized bulk–boundary correspondence in non-Hermitian topolectrical circuits. Tobias Helbig, Tobias Hofmann, Stefan Imhof, Mohamed Abdelghany, Tobias Kiessling, Laurens W. Molenkamp, Ching Hua Lee, Alexander Szameit, Martin Greiter, Ronny Thomale. Nature Physics, 1. Juni 2020, DOI: 10.1038/s41567-020-0922-9
Weitere Informationen:
http://#Physik: Forschungsteam @Uni_WUE hat einen richtungsweisenden Effekt mithilfe topologischer #Metamaterialien erstmals experimentell nachgewiesen @NaturePhysics Exzellenzcluster @ct_qmat #Forschung #Topologie #Wissenschaft
Die semantisch ähnlichsten Pressemitteilungen im idw