Spezifische Formen der Mikrosatelliteninstabilität und molekulare Subgruppen im Magenkarzinom
Magenkarzinome mit einer Mikrosatelliteninstabilität (MSI) repräsentieren eine distinkte molekulare Subgruppe dieser Tumoren. Eine MSI stellt einen wichtigen prädiktiven Faktor für die Anwendung neuer Immunbasierter Therapien dar, während die Bedeutung für eine klassische Chemotherapie kontrovers diskutiert wird. Ein Forschungsteam der TU München konnte nun mit Unterstützung der Wilhelm Sander-Stiftung neue Erkenntnisse zu geschlechtsspezifischen Unterschieden von Patientinnen und Patienten mit einer MSI im Magenkarzinom nach Chemotherapie gewinnen. Zudem untersuchte das Team spezielle Formen von MSI und weitere molekulare Subgruppen auf deren potentiell klinische Bedeutung.
Magenkarzinome werden oft erst relativ spät in einem bereits fortgeschrittenen Tumorstadium diagnostiziert und gehen daher häufig mit einer ungünstigen Prognose der Patientinnen und Patienten einher. Sie werden standardmäßig meist mit einer prä-/perioperativen Chemotherapie behandelt, auf die jedoch nur ein Teil der Patientinnen und Patienten gut anspricht. Relativ hohe Erwartungen knüpfen sich derzeit hingegen an die neuen Krebsimmuntherapien unter Verwendung sogenannter Immuncheckpoint-Inhibitoren, die in verschiedenen Tumorentitäten äußerst vielversprechende Erfolge zeigen. Einen prädiktiven Biomarker für ein gutes Ansprechen auf eine Therapie mit einem Immuncheckpoint-Inhibitor stellt eine Mikrosatelliteninstabilität (MSI) im Tumor dar. Unter einer MSI versteht man ein vermehrtes Auftreten von Fehlern in kurzen, sich wiederholenden DNA-Sequenzen, den Mikrosatellitensequenzen. Die Fehler werden normalerweise von einem speziellen DNA-Reparatursystem behoben. Liegen jedoch Defekte in diesem System vor, unterbleibt eine entsprechende Korrektur und eine MSI kann sich im Tumor manifestieren.
Die Bedeutung einer MSI als prädiktiver Marker für eine klassische, prä-/perioperative Chemotherapie beim Magenkarzinom wird in der wissenschaftlichen Literatur kontrovers diskutiert: Zum einen wird über einen schlechteren Verlauf der Patientinnen und Patienten mit einem MSI-positiven Magenkarzinom nach prä-/perioperativer Chemotherapie berichtet. Zum anderen gibt es Studien, die keinen Unterschied oder sogar einen günstigeren Verlauf feststellten.
Hier knüpfen die Arbeiten von Frau Prof. Keller am Institut für Pathologie der TU München an, die sich intensiv mit spezifischen Ausprägungen von MSI sowie mit weiteren molekularen Subgruppen beim Magenkarzinom und deren klinischer Bedeutung beschäftigt.
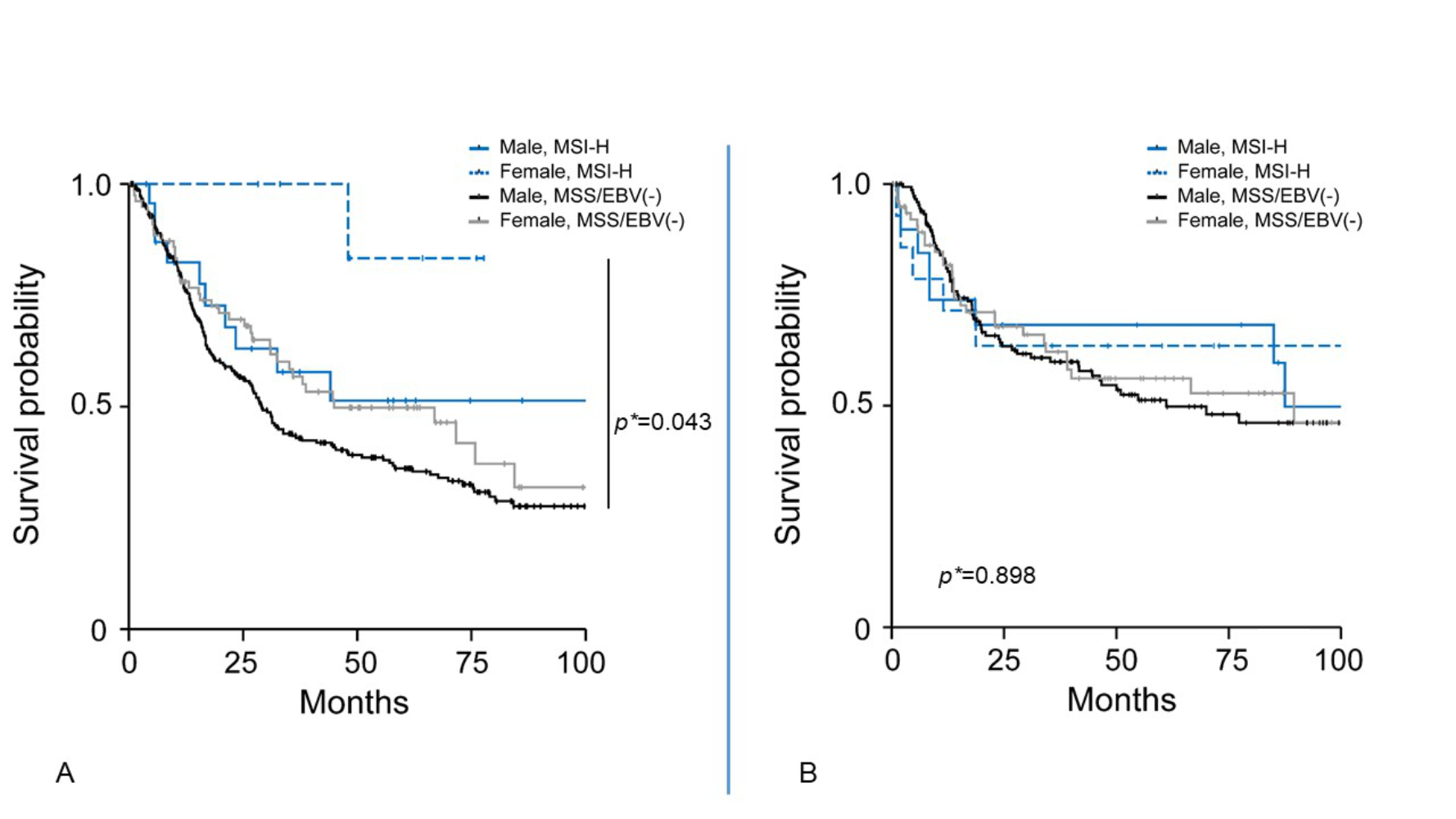
Mit Unterstützung der Wilhelm Sander-Stiftung ging das Team von Prof. Keller und ihren klinischen Kooperationspartnern zunächst der Frage nach, inwieweit geschlechtsspezifische Unterschiede beim Auftreten einer MSI im Tumor für die Prognose und das Ansprechen auf eine Chemotherapie relevant sind. In einer Analyse von mehr als 700 Patientinnen und Patienten zeigte sich, dass eine MSI in Tumoren von Frauen im Vergleich zu einer MSI in Tumoren von Männern oder zu Mikrosatelliten-stabilen Tumoren beider Geschlechter, mit einer auffallend guten Prognose der Patientinnen, insbesondere nach einer präoperativen Chemotherapie einherging. Dieses Ergebnis impliziert, dass die biologischen Unterschiede zwischen Frauen und Männern für das Therapieansprechen auf eine Chemotherapie insbesondere bei Vorliegen einer MSI im Tumor relevant sind. Umso dringlicher ist es, künftig weitere Analysen sowie geschlechtsspezifische Aspekte bei der Klärung von Behandlungseffekten miteinzubeziehen.
In weiteren Untersuchungen widmeten sich Frau Prof. Keller und ihr Team einer speziellen Form von Instabilität, die bevorzugt an spezifischen Mikrosatellitensequenzen auftritt und als EMAST (elevated microsatellite alterations at selected tetranucleotide repeats) bezeichnet wird. Dabei erforschten sie, inwieweit das Auftreten dieser speziellen Form mit der klassischen MSI einhergeht, spezifische MSI-Gruppen differenziert oder eine eigene, distinkte Sonderform darstellt, die mit charakteristischen Eigenschaften der Patientinnen und Patienten assoziiert ist.
Es zeigte sich, dass EMAST nahezu vollständig überlappend mit der bekannten, klassischen MSI vorkommt und bei alleiniger Betrachtung keine wesentliche prognostische oder prädiktive Bedeutung für das Magenkarzinom zeigte. In Anbetracht der Tatsache, dass MSI ein wichtiger prädiktiver Biomarker für eine Immuntherapie darstellt, lieferten diese Ergebnisse einen wertvollen Beitrag zur adäquaten Einordnung der klinischen Relevanz von MSI und EMAST beim Magenkarzinom.
Weitere Analysen zur molekularen Klassifikation von Magenkarzinomen mit der Unterteilung in MSI-positive Tumoren, in Tumoren, die in Assoziation mit dem Epstein-Barr-Virus auftreten sowie in Tumoren, die durch eine hohe chromosomale Instabilität gekennzeichnet sind, wurden mit Unterstützung der Sander-Stiftung abgeschlossen. Hierbei zeigte sich, dass distinkte Grade an chromosomaler Instabilität eine unterschiedlich prognostische und prädiktive Relevanz aufweisen. Es ergaben sich somit wertvolle Ansatzpunkte, diese distinkten molekularen Subgruppen des Magenkarzinoms weiter zu erforschen und möglicherweise darauf basierend zu einer Optimierung individueller Therapiekonzepte beizutragen.
Die beschriebenen Studien, die von der Wilhelm Sander-Stiftung mitunterstützt wurden, wurden in Form von drei Publikationen in den renommierten Fachzeitschriften Cancers, dem Journal of Pathology: Clinical Research sowie dem British Journal of Cancer veröffentlicht.
Wilhelm Sander-Stiftung: Partner innovativer Krebsforschung
Die Wilhelm Sander-Stiftung hat das Forschungsprojekt mit insgesamt 124.000 Euro unterstützt. Stiftungszweck ist die Förderung der medizinischen Forschung, insbesondere von Projekten im Rahmen der Krebsbekämpfung. Seit Gründung der Stiftung wurden insgesamt über 250 Millionen Euro für die Forschungsförderung in Deutschland und der Schweiz ausbezahlt. Damit ist die Wilhelm Sander-Stiftung eine der bedeutendsten privaten Forschungsstiftungen im deutschen Raum. Sie ging aus dem Nachlass des gleichnamigen Unternehmers hervor, der 1973 verstorben ist.
www.wilhelm-sander-stiftung.de
Technische Universität München
Die Technische Universität München (TUM) ist mit mehr als 600 Professorinnen und Professoren, 48.000 Studierenden sowie 11.000 Mitarbeiterinnen und Mitarbeitern eine der forschungsstärksten Technischen Universitäten Europas. Ihre Schwerpunkte sind die Ingenieurwissenschaften, Naturwissenschaften, Lebenswissenschaften und Medizin, verknüpft mit den Wirtschafts- und Sozialwissenschaften. Die TUM handelt als unternehmerische Universität, die Talente fördert und Mehrwert für die Gesellschaft schafft. Dabei profitiert sie von starken Partnern in Wissenschaft und Wirtschaft. Weltweit ist sie mit dem Campus TUM Asia in Singapur sowie Verbindungsbüros in Brüssel, Mumbai, Peking, San Francisco und São Paulo vertreten. An der TUM haben Nobelpreisträger und Erfinder wie Rudolf Diesel, Carl von Linde und Rudolf Mößbauer geforscht. 2006, 2012 und 2019 wurde sie als Exzellenzuniversität ausgezeichnet. In internationalen Rankings gehört sie regelmäßig zu den besten Universitäten Deutschlands.
www.tum.de
Wissenschaftlicher Ansprechpartner:
Wissenschaftliche Ansprechpartnerin
Prof. Dr. rer. nat. Gisela Keller
Technische Universität München
Fakultät für Medizin
Institut für Pathologie
Trogerstr. 18
81675 München
Tel.: 089-41404592
E-Mail: gisela.keller@tum.de
https://web.med.tum.de/path/forschung/ag-keller/
Originalpublikation:
https://doi.org/10.3390/cancers13051048
https://onlinelibrary.wiley.com/doi/10.1002/cjp2.257
https://onlinelibrary.wiley.com/doi/10.1002/cjp2.257
Die semantisch ähnlichsten Pressemitteilungen im idw
