Magnete im richtigen Lichte betrachten
Um magnetischen Materialien ihre Geheimnisse zu entlocken, bedarf es der passenden Beleuchtung. Durch den magnetischen Röntgenzirkulardichroismus ist es möglich die magnetische Ordnung in Nanostrukturen zu entschlüsseln und dabei unterschiedlichen Schichten oder einzelnen chemischen Elementen zuzuordnen. Forschenden am Max-Born-Institut in Berlin ist es gelungen, diese einzigartige Messmethode im weichen Röntgenbereich in einem Laserlabor zu realisieren. Dadurch können erstmals viele technologisch relevante Fragestellungen auch außerhalb von Großforschungsanlagen untersucht werden.
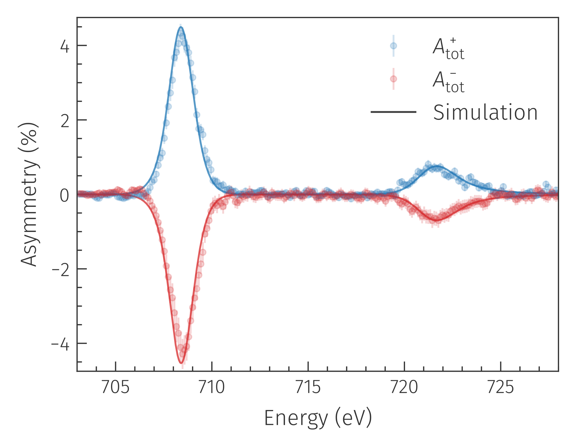
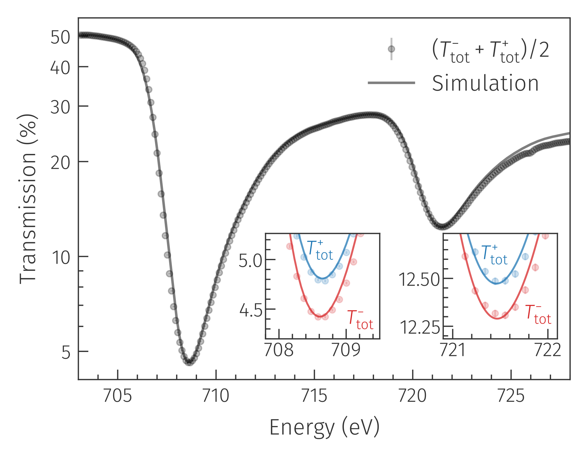
Magnetische Nanostrukturen sind seit langem Teil unseres Alltages, z.B. in Form von schnellen und kompakten Datenspeichern oder hoch sensiblen Sensoren. Einen großen Beitrag zum Verständnis vieler der relevanten magnetischen Effekte und Funktionalitäten liefert dabei eine besondere Messmethode: der magnetische Röntgenzirkulardichroismus (im Englischen: X-ray Magnetic Circular Dichroism - XMCD). Hinter diesem eindrucksvollen Begriff verbirgt sich ein fundamentaler Effekt der Wechselwirkung zwischen Licht und Materie: In einem ferromagnetischem Material gibt es ein Ungleichgewicht an Elektronen mit einem bestimmten Drehimpuls, dem Spin. Scheint man nun zirkular polarisiertes Licht, welches ebenfalls einen definierten Drehimpuls hat, durch einen Ferromagneten, kann man einen deutlichen Unterschied in der Transmission für eine parallele oder anti-parallele Ausrichtung der beiden Drehimpulse beobachten – einen so genannten Dichroismus. Dieser Zirkulardichroismus magnetischen Ursprungs ist im Bereich weicher Röntgenstrahlung (200 bis 2000 eV Energie der Lichtteilchen, einer Wellenlänge von nur 6 bis 0,6 nm entsprechend), für die elementspezifischen Absorptionskanten von Übergangsmetallen, wie z.B. von Eisen, Nickel oder Kobalt, sowie von Seltenen Erden, wie z.B. Dysprosium oder Gadolinium, besonders stark ausgeprägt. Gerade diese Elemente sind für die technische Nutzung magnetischer Effekte besonders wichtig. Der XMCD-Effekt erlaubt dabei das magnetische Moment der jeweiligen Elemente auch in verdeckten Lagen in einem Material sehr genau zu bestimmen, ohne das Probensystem dabei zu beschädigen. Werden zudem sehr kurze Röntgenpulse mit zirkularer Polarisation verwendet, können sogar ultraschnelle Magnetisierungsprozesse auf Femto- oder Pikosekundenskala (ps) verfolgt werden. Leider war der Zugang zu der dafür benötigten Röntgenstrahlung bis jetzt nur an wissenschaftlichen Großgeräten, wie z.B. Synchrotronstrahlungsquellen oder Freien-Elektronen-Lasern (FELs), möglich und dadurch stark limitiert.
Einem Team um den Nachwuchsgruppenleiter Daniel Schick am Max-Born-Institut (MBI) in Berlin ist es nun erstmals gelungen, XMCD-Experimente an den L-Absorptionskanten von Eisen bei einer Photonenenergie von ca. 700 eV in einem Laserlabor zu realisieren. Als Röntgenlichtquelle diente dabei eine laser-getriebene Plasmaquelle, bei der sehr kurze (2 ps) und intensive (200 mJ pro Puls) optische Laserpulse auf einen Zylinder aus Wolfram fokussiert werden. Das erzeugte Plasma strahlt dabei sehr viel Licht im relevanten Spektralbereich kontinuierlich von 200-2000 eV mit einer Pulsdauer von weniger als 10 ps ab. Aufgrund des stochastischen Erzeugungsprozesses im Plasma ist jedoch eine sehr wichtige Voraussetzung zur Beobachtung vom XMCD nicht gegeben – die Polarisation des Röntgenlichts ist nicht wie erforderlich zirkular, sondern völlig zufällig, ähnlich derjenigen einer Glühbirne. Daher nutzten die Forschenden einen Trick: Das Röntgenlicht passiert zuerst einen magnetischen Polarisationsfilter in dem derselbe XMCD-Effekt, wie oben beschrieben, wirkt. Durch die polarisationsabhängige, dichroitische Transmission kann so nämlich auch ein Ungleichgewicht an Lichtteilchen mit parallelen vs. anti-parallelen Drehimpuls relativ zur Magnetisierung des Filters erzeugt werden. Das nach Durchtritt durch den Polarisationsfilter teilweise zirkular bzw. elliptisch polarisierte Röntgenlicht kann anschließend für das eigentliche XMCD-Experiment an einer magnetischen Probe genutzt werden.
Die in der Fachzeitschrift OPTICA veröffentlichte Arbeit zeigt dabei, dass laser-basierte Röntgenquellen immer weiter zu Strahlungsquellen an wissenschaftlichen Großgeräten aufschließen. „Unser Konzept zur Erzeugung zirkular polarisierter Weichröntgenstrahlung ist nicht nur sehr flexibel einsetzbar, sondern aufgrund der Breitbandigkeit unserer Lichtquelle auch herkömmlichen Methoden in der XMCD-Spektroskopie teilweise überlegen“, sagt der Erstautor der Studie und Doktorand am MBI, Martin Borchert. Insbesondere eröffnet die bereits nachgewiesene Pulsdauer der erzeugten Röntgenpulse von nur wenigen Pikosekunden viele Möglichkeiten um auch sehr schnelle, z.B. durch ultrakurze Lichtblitze ausgelöste, Magnetisierungsprozesse zu beobachten und letztendlich im Detail zu verstehen.
Wissenschaftlicher Ansprechpartner:
Max-Born-Institut im Forschungsverbund Berlin e. V.
Dr. Daniel Schick
Tel: +4930 6392 1311, E-Mail: Daniel.Schick@mbi-berlin.de
Originalpublikation:
Optica Vol. 10, Issue 4, pp. 450-455 (2023)
DOI: 10.1364/OPTICA.480221
https://opg.optica.org/optica/fulltext.cfm?uri=optica-10-4-450&id=528781
Ähnliche Pressemitteilungen im idw