13 percent fewer ski slopes by the end of the century
In one in eight ski resorts, the natural snow cover could disappear completely before the end of this century. This is the conclusion reached by Dr. Veronika Mitterwallner from the University of Bayreuth in a study of the world's seven largest mountain regions, which has now been published in the scientific journal PLOS ONE.
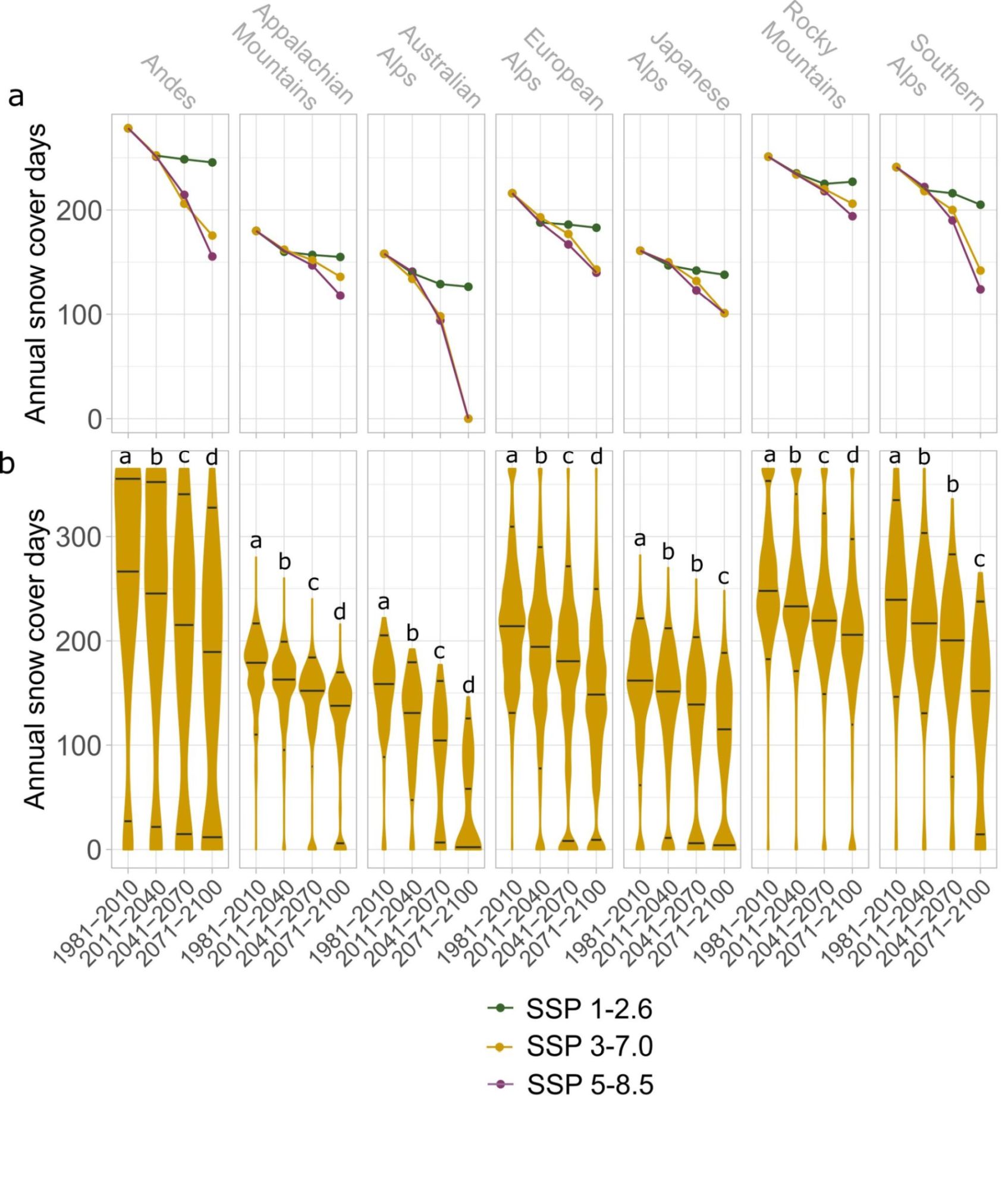
"Climate change is significantly altering the patterns of natural snowfall, which has strong but different consequences for ski resorts worldwide," says Dr. Veronika Mitterwallner, a researcher at the Chair of Sports Ecology at the University of Bayreuth. "In all major ski regions, a substantial decrease in the number of days with natural snow cover is expected under every assessed emissions scenario," says Mitterwallner. 13% of ski resorts will have completely lost their natural snow cover by the end of the century if a high emissions scenario is assumed. Twenty percent will not even have half as many days with closed snow cover by the end of the century.
By 2071-2100, average annual snowpack days will decline the most in the Australian Alps (78%) and the New Zealand Alps (51%), followed by the Japanese Alps (50%), the Andes (43%), the European Alps (42%) and the Appalachians (37%), with the Rocky Mountains showing the smallest decline of 23% compared to historical baseline values.
The consequences are foreseeable: The researchers assume that the decreasing snow cover will drive ski tourism into expansion, particularly at higher altitudes and therefore in less populated areas. However, this would pose a threat to alpine plants and animals that are already under climate-related stress. Ski lift operators could resort to artificial snowmaking, but the authors predict that the economic profitability of many ski resorts worldwide will decline. Future skiable areas will be concentrated in less densely populated areas, towards continental regions and inner areas of mountain ranges. As skiable areas will be located further away from heavily populated areas in the future, an expansion of infrastructure and increasing interventions (e.g. artificial snow production, slope grooming) to extend the snow run time is likely. "Our results indicate potentially negative developments both for the recreational and economic value of skiing and for mountain biodiversity, as endangered high mountain species could be threatened by the loss of space due to the expansion of ski resorts," explains Mitterwallner.
The method
The effects of climate change on ski resorts can no longer be overlooked. And although skiing and the associated tourism are often the only source of income for residents in these regions, there are hardly any large-scale studies on general spatial patterns of changes in snow reliability. The existing studies are small-scale and focus on Europe, North America and Australia. Dr. Mitterwallner and colleagues investigated the effects of climate change on annual natural snow cover in seven major ski areas: the European Alps, the Andes, the Appalachians, the Australian Alps, the Japanese Alps, the New Zealand Alps and the Rocky Mountains. The researchers used OpenStreetMap to identify specific ski resorts within these seven regions. As the largest global ski market, the European Alps accounted for 69% of these areas. The researchers also used the public climate database CHELSA, which allowed them to predict the annual snowpack days for each ski area for the years 2011-2040, 2041-2070 and 2071-2100 under low, high and very high carbon emissions.
Wissenschaftlicher Ansprechpartner:
Dr. Veronika Mitterwallner
Researcher at the Chair of Sports Ecology
University of Bayreuth (Bavaria, Germany)
Phone: +49 (0) 921 55-3478
Mail: veronika.mitterwallner@uni-bayreuth.de
Originalpublikation:
Originalpublikation: Mitterwallner V, Steinbauer M, Mathes G, Walentowitz A (2024) Global reduction of snow cover in ski areas under climate change. PLoS ONE 19(3): e0299735. https://journals.plos.org/plosone/article?id=10.1371/journal.pone.0299735
DOI: https://doi.org/10.1371/journal.pone.0299735
Ähnliche Pressemitteilungen im idw