13 Prozent weniger Skipisten bis zum Ende des Jahrhunderts
In einem von acht Skigebieten könnte die natürliche Schneedecke noch in diesem Jahrhundert komplett verschwinden. Zu diesem Ergebnis kommt Dr. Veronika Mitterwallner von der Universität Bayreuth in einer Untersuchung der weltweit sieben größten Gebirgsregionen, die jetzt in der Fachzeitschrift PLOS ONE veröffentlicht wurde.
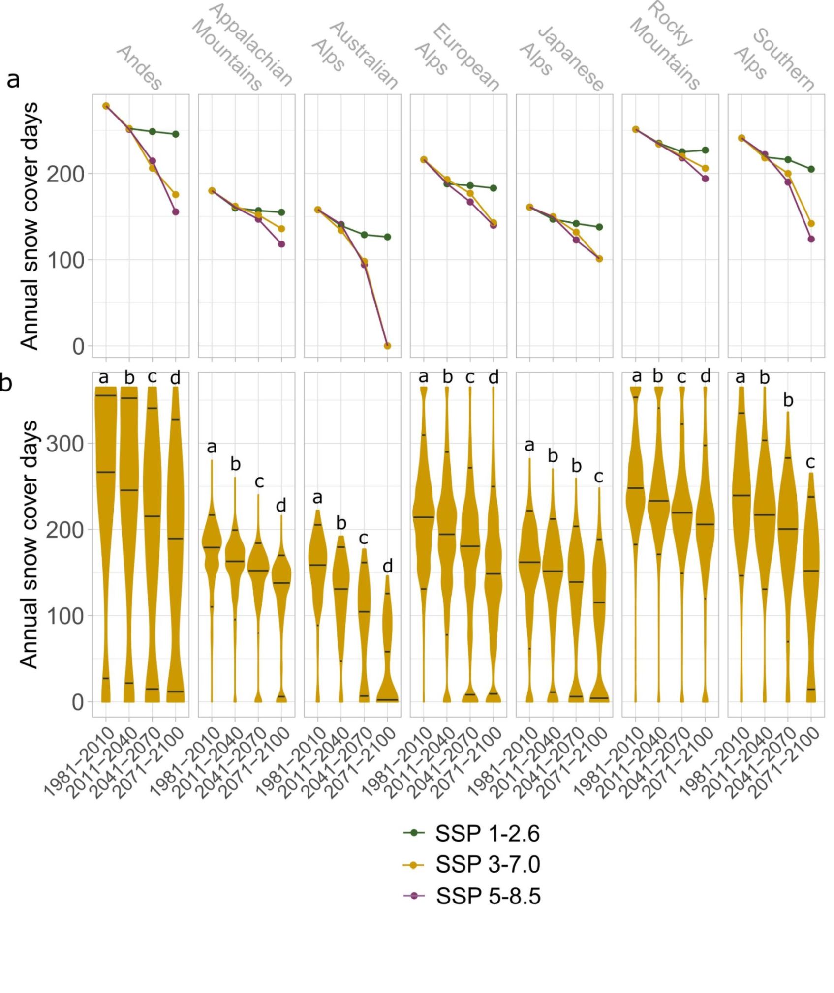
„Der Klimawandel verändert die Muster natürlichen Schneefalls erheblich, das hat starke, aber unterschiedliche Folgen für Skigebiete weltweit“, sagt Dr. Veronika Mitterwallner, Mitarbeiterin an der Professur für Sportökologie der Universität Bayreuth. „In allen großen Skiregionen wird unter jedem bewerteten Emissionsszenario mit einer substantiellen Abnahme der Tage mit natürlicher Schneedecke gerechnet“, sagt Mitterwallner. 13% der Skigebiete werden ihre natürliche Schneedecke bis zum Ende des Jahrhunderts vollständig verloren haben, wenn von einem hohen Emissionsszenario ausgegangen wird. Zwanzig Prozent werden bis Ende des Jahrhunderts nicht einmal halb so viele Tage mit geschlossener Schneedecke haben.
Bis 2071-2100 werden die durchschnittlichen jährlichen Schneedeckentage in den australischen Alpen (78%) und den Neuseeländischen Alpen (51%) am stärksten zurückgehen, gefolgt von den japanischen Alpen (50%), den Anden (43%), den europäischen Alpen (42%) und den Appalachen (37%), wobei der Rückgang in den Rocky Mountains mit 23% im Vergleich zu den historischen Ausgangswerten am geringsten sein wird.
Die Folgen sind abzusehen: Die Forschenden gehen davon aus, dass die abnehmende Schneedecke den Skitourismus in die Expansion vor allem in höhere Lagen und damit in weniger besiedelte Gebiete treiben wird. Das würde aber eine Bedrohung für alpine Pflanzen und Tiere darstellen, die bereits unter klimabedingtem Stress stehen. Skiliftbetreiber könnten auf künstliche Beschneiung zurückgreifen, aber dennoch - so sagen die Autoren voraus – wird die wirtschaftliche Rentabilität vieler Skigebiete weltweit sinken. Zukünftige befahrbare Gebiete werden sich in weniger dicht besiedelten Gebieten konzentrieren, in Richtung kontinentaler Regionen und innerer Gebiete der Gebirgsketten. Da die befahrbaren Gebiete in Zukunft weiter von stark besiedelten Gebieten entfernt liegen werden, ist eine Ausweitung der Infrastruktur und zunehmende Eingriffe (z.B. künstliche Schneeproduktion, Pistenpräparierung), um die Schneelaufzeit zu verlängern, wahrscheinlich. „Unsere Ergebnisse weisen auf potentiell negative Entwicklungen sowohl für den Freizeit- und Wirtschaftswert des Skifahrens als auch für die Bergbiodiversität, da gefährdete Hochgebirgsarten durch den Raumverlust bei der Ausdehnung von Skigebieten bedroht sein könnten hin“, erklärt Mitterwallner.
Die Methode
Die Auswirkungen des Klimawandels auf Skigebiete sind längst nicht mehr zu übersehen. Und obwohl in diesen Regionen oft Skisport und der damit verbundene Tourismus die einzige Einnahmequelle der Bewohner sind, gibt es kaum großräumige Studien über generelle räumliche Muster von Veränderungen der Schneesicherheit. Die vorhandenen Studien sind kleinräumig und konzentrieren sich auf Europa, Nordamerika und Australien. Dr. Mitterwallner und Kolleg*innen untersuchten die Auswirkungen des Klimawandels auf die jährliche natürliche Schneedecke in sieben großen Skigebieten: den europäischen Alpen, den Anden, den Appalachen, den australischen Alpen, den japanischen Alpen, den Neuseeländischen Alpen und den Rocky Mountains. Die Forschenden identifizierten mithilfe von OpenStreetMap bestimmte Skigebiete innerhalb dieser sieben Regionen. Als größter globaler Skimarkt entfielen 69% dieser Gebiete auf die europäischen Alpen. Die Forschenden nutzten auch die öffentliche Klimadatenbank CHELSA, die es ihnen ermöglichte, die jährlichen Schneedeckentage für jedes Skigebiet für die Jahre 2011-2040, 2041-2070 und 2071-2100 unter niedrigen, hohen und sehr hohen Kohlenstoffemissionen vorherzusagen.
Wissenschaftlicher Ansprechpartner:
Dr. Veronika Mitterwallner
Wissenschaftliche Mitarbeiterin an der Professur für Sportökologie
Universität Bayreuth
Tel.: +49 (0) 921 55-3478
Mail: veronika.mitterwallner@uni-bayreuth.de
Originalpublikation:
Mitterwallner V, Steinbauer M, Mathes G, Walentowitz A (2024) Global reduction of snow cover in ski areas under climate change. PLoS ONE 19(3): e0299735.
https://journals.plos.org/plosone/article?id=10.1371/journal.pone.0299735
DOI: https://doi.org/10.1371/journal.pone.0299735
Die semantisch ähnlichsten Pressemitteilungen im idw