Kohlenstoffatom-Transfer: Chemiker der TU Dortmund veröffentlichen aktuelle Erkenntnisse in Science
Prof. Max Martin Hansmann von der Fakultät für Chemie und Chemische Biologie der TU Dortmund und sein Team haben ein neues Reagenz entwickelt, mit dem Kohlenstoffatome in organische Moleküle eingefügt werden können. Diese Entwicklung ist für die Grundlagenforschung der organischen Chemie so spektakulär, dass sie in der renommierten Fachzeitschrift „Science“ veröffentlicht wurde. Die Forschungsarbeiten fanden im Rahmen eines ERC Starting Grants statt, den Prof. Hansmann 2022 eingeworben hatte. Der Erstautor der Publikation, Dr. Taichi Koike, ist über ein Alexander von Humboldt-Forschungsstipendium am Lehrstuhl für Organische Chemie von Prof. Hansmann tätig.
„Die präzise Veränderung von Molekülen auf der Ebene eines einzelnen Atoms zählt zu einer der elegantesten Transformationen in der organischen Chemie“, sagt Prof. Hansmann. Sie ist für Forschende interessant, da sie den Zugang zu komplexen Arzneimitteln in einer kürzeren Synthesesequenz ermöglichen kann. Die Entwicklung von Reagenzien, die selektiv ein Kohlenstoffatom einführen können, stellt jedoch eine schwierige Aufgabe dar. Dem Team um Prof. Max Hansmann ist es nun gelungen, ein Reagenz zu synthetisieren, das nicht nur als Kohlenstoffatom-Quelle, sondern auch als Mehrzweck-Transferreagenz dienen kann. „Wir sind zuversichtlich, dass die weitere Erforschung der Reaktivität dieser Art von Reagenzien neue Anwendungen im gezielten Transfer von Kohlenstoffatomen ermöglichen wird, zum Beispiel als neues Reagenz beim Zugang zu höheren Cumulenen oder bei der späten Manipulation von komplexen molekularen Strukturen“, sagt der Chemieprofessor.
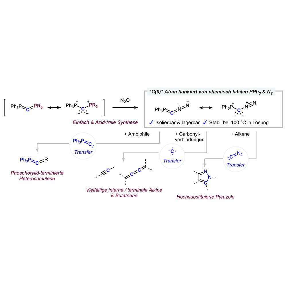
Bei der Entwicklung machte sich das Team einen einfachen Ansatz zur Stabilisierung eines Kohlenstoffatoms zu Nutze – und zwar die Koordination mit zwei neutralen elektronenliefernden Gruppen. Die daraus resultierenden Spezies, die als Carbone (L1→C←L2) bekannt sind, waren als Kohlenstoffatomquellen bisher kaum erforscht. Die Herausforderungen bei der Nutzung von Carbonen als Kohlenstoffatomquellen brachten die Forscher dazu, ein Reagenz zu entwickeln, bei dem ein Kohlenstoffatom von zwei einfachen und labilen Gruppen (PPh3 und N2) flankiert wird. In Science beschreiben sie die Synthese des kristallinen und isolierbaren Reagenz Ph3P=C=N2 durch eine formale PPh3/N2-Austauschreaktion unter Verwendung von Carbodiphosphoran Ph3P=C=PPh3 und Distickstoffoxid (N2O). Dieser synthetische Zugang ist sehr einfach und elegant, da keine Azide benötigt werden, was bei Diazoverbindungen typischerweise der Fall ist und ein Sicherheitsrisiko im Syntheseprozess darstellt. Prof. Hansmann und seine Mitarbeiter konnten zeigen, dass dieses Reagenz ohne weitere Zusätze als hochselektives Transferreagenz für Fragmente vom Kohlenstoffatom dient. Ph3PC-Transfers auf Ambiphile führen zu phosphorylidterminierten Heterocumulenen, CN2-Transfers auf Alkene zu mehrfach substituierten Pyrazolen. Bei der Reaktion mit Carbonylverbindungen findet schließlich ein Kohlenstoff-Atom-Transfer statt, der entweder zu verschiedenen Alkinen oder Butatrienen führt.
Wissenschaftlicher Ansprechpartner:
Prof. Dr. Max M. Hansmann
Organische Chemie
Fakultät für Chemie und Chemische Biologie
Tel.: +49 231 755 5362
E-mail: max.hansmann@tu-dortmund.de
Web: www.ccb.tu-dortmund.de/hansmann
Originalpublikation:
https://www.science.org/doi/10.1126/science.ado4564
Ähnliche Pressemitteilungen im idw