Breakthrough Discovery in Thermoelectrics: Magnetic Fields Enhance Cooling Efficiency of Topological Materials
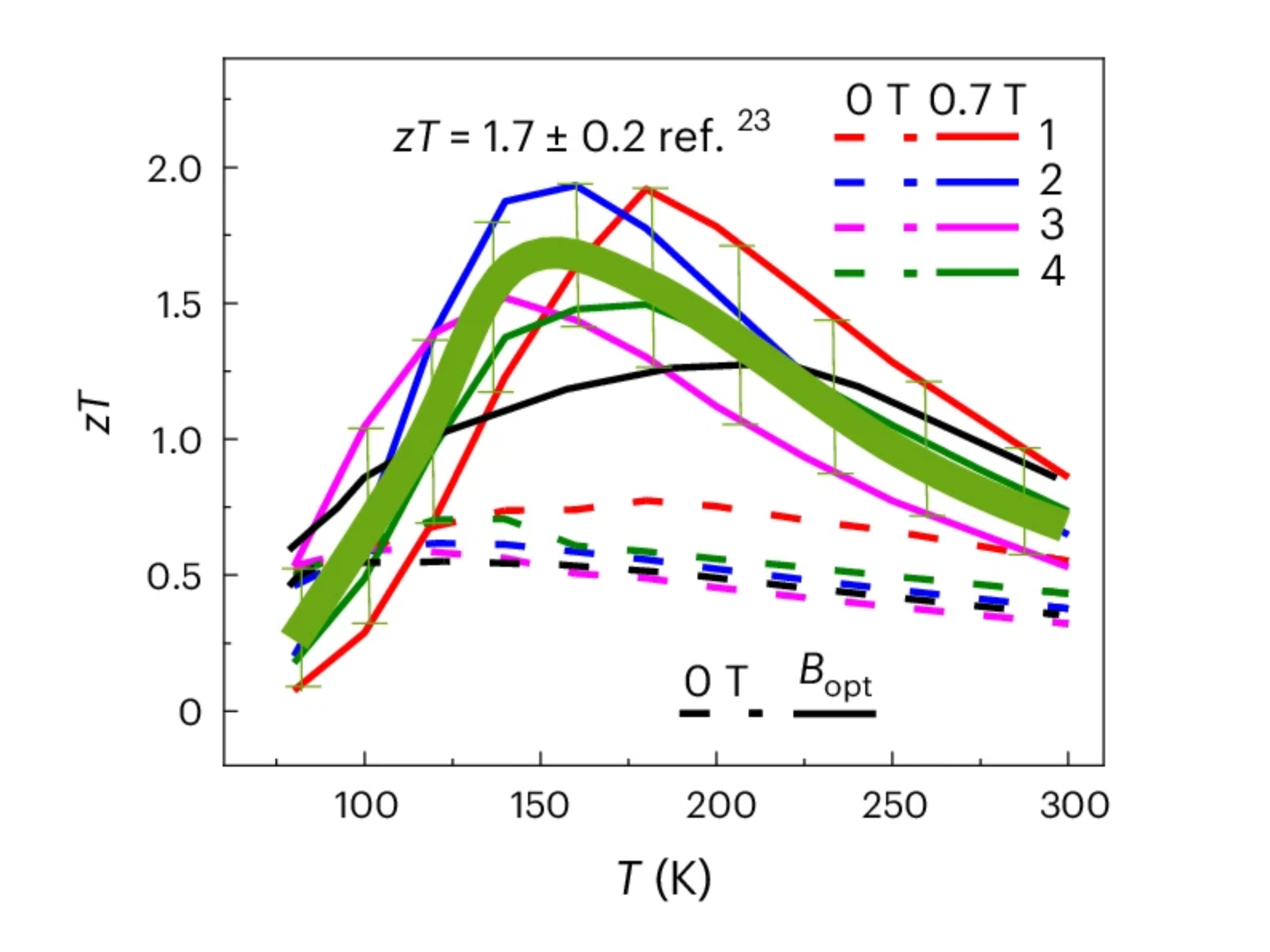
Researchers from the Max Planck Institute for Chemical Physics of Solids, Chongqing University, and the Max Planck Institute of Microstructure Physics have achieved a topological thermoelectrics breakthrough. They found that a weak magnetic field notably enhances low-temperature cooling in topological materials. Their Nature Materials study reports a figure of merit (zT) of 1.7 ± 0.2 at 180 K and 0.7 T in Bi88Sb12, paving the way for thermoelectric cooling below 300 K. This magneto-thermoelectric innovation offers an efficient, cost-effective alternative to conventional cooling.
Thermoelectric technology is advantageous for low-temperature cooling applications due to its long lifetime, the absence of a compressor and low noise. It is used, for example, in the aerospace industry, although the efficiency of thermoelectric energy conversion, especially at low temperatures, remains low. This is due to the temperature dependence of the thermoelectric figure of merit zT.
In recent years, thanks to the development of topological materials and topological theory, low-temperature thermoelectrics have achieved increasing attention. Here, a joint research team from the Max Planck Institute for Chemical Physics of Solids, Chongqing University, and the Max Planck Institute of Microstructure Physics has achieved a remarkable magneto-zT approaching 2 at 180 K under a low magnetic field of only 0.7 T in the topological insulator Bi88Sb12 single crystal, nearly three times higher than the zero-field value. Moreover, such high magneto-zT outperforms that of any known low-temperature thermoelectric materials.
In order to realize high magneto-thermoelectric performance, the key step is to grow high-quality Bi1–xSbx single crystals. This is a major challenge due to the complete miscibility of Bi and Sb, but at the same time strong phase segregation coefficients, i.e. the tendency to segregation and formation of areas of different compositions is large. Therefore, a floating molten zone technique using in-house equipment was adopted, which produced high-quality single crystals with a low carrier density of about 1017 cm-3 and a high mobility of over 4 × 105 cm²V-1s-1 at 80 K. The latter, together with the unique band dispersion of Bi1-xSbx, is important for the exceptionally high figure of merit zT, and the extraordinary magnetic thermoelectric power of Bi1-xSbx.
According to theoretical modelling, the Dirac band with linear band dispersion plays an essential role for a large magneto-Seebeck effect, which is further enhanced by Zeeman splitting owing to the large Landé g-factor. Since many topological materials present similar feature such as linear Dirac band dispersion and very small effect mass (so as large g-factor), it is expected that high magneto-thermoelectric performance can be also found in other emerging topological materials.”We believe that a deeper understanding of the magneto-thermoelectric properties of Bi1-xSbx will facilitate the development of topological thermoelectrics for low-temperature cooling applications. ”This is the conclusion of the two main authors, Yu Pan and Claudia Felser.
These results support the idea of using small magnetic fields to significantly increase thermoelectric performance. Particularly noteworthy is the ability to achieve high zT values with relatively low magnetic fields, which are realisable using permanent magnets. This opens up new prospects for low-cost and efficient thermoelectric cooling devices. The results open up possibilities for research into other topological materials with similar properties and show the potential to push the boundaries further by achieving huge thermoelectric responses while approaching the quantum limit, which could potentially unlock unprecedented efficiencies.
Topological materials for high performance thermoelectric material. (a) Advantages of topological magneto-thermoelectric materials. (b) High zT of single-crystalline Bi88Sb12 topological insulator.
Wissenschaftlicher Ansprechpartner:
Claudia.Felser@cpfs.mpg.de
Yu.Pan@cpfs.mpg.de
Originalpublikation:
Yu Pan, Bin He, Xiaolong Feng, Fan Li, Dong Chen, Ulrich Burkhardt, Claudia Felser
A magneto-thermoelectric with a high figure of merit in topological insulator Bi88Sb12
Nat. Mater. 24, 76–82 (2025).
s41563-024-02059-9
A weak magnetic field enhances the thermoelectric performance of topological materials.
Yu Pan, Claudia Felser
Nat. Mater. 24, 20–21 (2025).
s41563-024-02070-0
Weitere Informationen:
https://www.cpfs.mpg.de/3698623/20250106a
Die semantisch ähnlichsten Pressemitteilungen im idw
